双指针算法类型
双指针的问题主要可以归为两类,一类是「快慢指针」,主要解决链表中的问题,比如典型的判定链表中是否包含环;另一类是「左右指针」,主要解决数组(或者字符串)中的问题,比如二分查找。
快慢指针的常见算法
快慢指针一般都初始化指向链表的头结点 head,前进时快指针 fast 在前,慢指针 slow 在后,巧妙解决一些链表中的问题。
判断链表中是否有环
单链表的特点是每个节点只知道下一个节点,所以一个指针的话无法判断链表中是否含有环的。如果链表中不含环,那么这个指针最终会遇到空指针 nil 表示链表到头了,这还好说,可以判断该链表不含环:
1 | func hasCycle(head *ListNode) bool { |
但是如果链表中含有环,那么这个指针就会陷入死循环,因为环形数组中没有 nil 指针作为尾部节点。经典解法就是用两个指针,一个跑得快,一个跑得慢。如果不含有环,跑得快的那个指针最终会遇到 nil,说明链表不含环;如果含有环,快指针最终会超慢指针一圈,和慢指针相遇,说明链表含有环。
1 | /** |
已知链表中含有环,返回这个环的起始位置

给定一个链表,返回链表开始入环的第一个节点。 如果链表无环,则返回 null。
为了表示给定链表中的环,我们使用整数 pos 来表示链表尾连接到链表中的位置(索引从 0 开始)。 如果 pos 是 -1,则在该链表中没有环。注意,pos 仅仅是用于标识环的情况,并不会作为参数传递到函数中。
说明:不允许修改给定的链表。
进阶:你是否可以使用 O(1) 空间解决此题?
当快慢指针相遇时,让其中任一个指针指向头节点,然后让它俩以相同速度前进,再次相遇时所在的节点位置就是环开始的位置。这是为什么呢?
第一次相遇时,假设慢指针 slow 走了 k 步,那么快指针 fast 一定走了 2k 步:

fast 一定比 slow 多走了 k 步,这多走的 k 步其实就是 fast 指针在环里转圈圈,所以 k 的值就是环长度的「整数倍」。
说句题外话,之前还有读者争论为什么是环长度整数倍,我举个简单的例子你就明白了,我们想一想极端情况,假设环长度就是 1,如下图:

那么 fast 肯定早早就进环里转圈圈了,而且肯定会转好多圈,这不就是环长度的整数倍嘛。
言归正传,设相遇点距环的起点的距离为 m,那么环的起点距头结点 head 的距离为 k - m,也就是说如果从 head 前进 k - m 步就能到达环起点。
巧的是,如果从相遇点继续前进 k - m 步,也恰好到达环起点。你甭管 fast 在环里到底转了几圈,反正走 k 步可以到相遇点,那走 k - m 步一定就是走到环起点了:

所以,只要我们把快慢指针中的任一个重新指向 head,然后两个指针同速前进,k - m 步后就会相遇,相遇之处就是环的起点了。
1 | /** |
链表的中间结点
类似上面的思路,我们可以让快指针一次前进两步,慢指针一次前进一步,当快指针到达链表尽头时,慢指针就处于链表的中间位置。
1 | /** |
当链表的长度是奇数时,slow 恰巧停在中点位置;如果长度是偶数,slow 最终的位置是中间偏右:

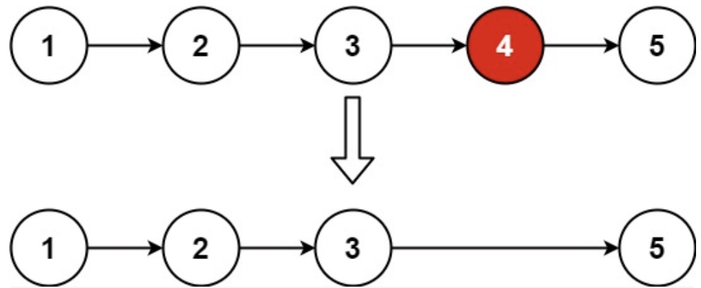
查找链表的倒数第 N 个结点
给你一个链表,删除链表的倒数第 n 个结点,并且返回链表的头结点。
进阶:你能尝试使用一趟扫描实现吗?
示例 1:

1 | 输入:head = [1,2,3,4,5], n = 2 |
示例 2:
1 | 输入:head = [1], n = 1 |
示例 3:
1 | 输入:head = [1,2], n = 1 |
还是使用快慢指针,让快指针先走 n 步,然后快慢指针开始同速前进。这样当快指针走到链表末尾 nil 时,慢指针所在的位置就是倒数第 n 个链表节点(n 不会超过链表长度)。
1 | /** |
回文链表
请判断一个链表是否为回文链表。
示例 1:
1 | 输入: 1->2 |
示例 2:
1 | 输入: 1->2->2->1 |
进阶:
你能否用 O(n) 时间复杂度和 O(1) 空间复杂度解决此题?
这道题看似很简单,只需要将链表存到数组中,从数组两端开始向中间依次比较,只要有两端的数字不同,立即返回false。可是这样做的空间复杂度为O(n),有什么办法能将空间复杂度控制为O(1)呢?
这道题集成了快慢指针,反转链表的操作,很具有代表性。我们要避免使用O(n)的额外空间,就要改变输入,我们可以通过反转后半部分链表,然后将前半部分与后半部分进行比较。该方法可以将空间复杂度降到O(1),但是在并发环境下,该方法也有缺点,在并发环境下,函数运行时需要锁定其他线程或进程对链表的访问,因为在函数执行过程中链表会被修改。
算法流程:
1.找到前半部分链表的尾节点:可以使用快慢指针在一次遍历中找到:慢指针一次走一步,快指针一次走两步,快慢指针同时出发。当快指针移动到链表的末尾时,慢指针恰好到链表的中间。通过慢指针将链表分为两部分。若链表有奇数个节点,则中间的节点应该看作是前半部分。
2.反转后半部分链表:同反转链表的解决方案。
3.判断是否回文:比较两个部分的值,当后半部分到达末尾则比较完成,可以忽略计数情况中的中间节点。
4.返回结果。
1 | /** |
左右指针的常见算法
左右指针在数组中实际是指两个索引值,一般初始化为left:=0, right:=len(array)-1。常见的左右指针算法通常分为四类:1.二分查找;2.两数之和;3.反转数组;4.滑动窗口。其中以滑动窗口最为困难,已经有专门的专题滑动窗口(Sliding Window)算法框架来介绍。其他三类只要掌握了基本框架,基本都能解决。
二分查找
二分查找的三种基本框架
1.寻找某一个特定的数(最基本的二分查找)
1 | func binarySearch(nums []int, target int) int { |
值得注意的地方(也是区分于其他框架的地方):
- 循环中符号是<=
- 一旦nums[mid]查找到,立即返回mid
- left = mid + 1 right = mid - 1
2.寻找左侧边界的二分查找
这个左边界不仅限于target存在于数组中,也可以找到其不在数组时的左边界。举例如下:
nums[] = {2,3,4,5,5,5,6,9,17} , target=5, 其左边界为索引3
nums[] = {2,2,3,4,4,4,6,7,7,8,9,456}, target=5, 其左边界索引为5
1 | func left_bound(nums []int, target int) int { |
值得注意的地方:
- 循环中符号是<,所以当数组只有一个元素时,不会进入for循环,要单独判断;因为是小于符号,所以出循环,left和right都不可能越界,这就意味着如果数组最后一个数 < target,按理说要返回前一个数的索引,但是由于right卡在了数组末尾元素上,循环结束的条件是left=right,所以此时左边界直接返回left,而不需要left-1
- 查找到nums[mid]=target,不直接返回,让right=mid,锁定住
- left = mid+1 right = mid
- 最终判断一下nums[left]是否等于target,等于说明target在数组中,直接返回left,否则返回left-1
- 找左边界的时候记得优先判断一下有序数组中最后一个数是否大于target,若最大的数都小于target,说明整个数组的左边界只能由最后一位数来担任,left=len(nums)-1
3.寻找右侧边界的二分查找
这个右边界不仅限于target存在于数组中,也可以找到其不在数组时的右边界。举例如下:
nums[] = {2,3,4,5,5,5,6,9,17} , target=5, 其右边界为索引5
nums[] = {2,2,3,4,4,4,6,7,7,8,9,456}, target=5, 其右边界索引为6
1 | func right_bound(nums []int, target int) int { |
值得注意的地方:
- 循环中符号是<,所以当数组只有一个元素时,不会进入for循环,要单独判断;因为是小于符号,所以出循环,left和right都不可能越界,这就意味着如果数组第一个数 > target,left一定会一直卡在索引0位置上,循环结束的条件是left=right,所以此时left=0,要判断nums[left-1]是否等于target,显然发生了越界,所以直接使用left(=0)作为右边界
- 查找到nums[mid]=target,不直接返回,让left = mid + 1,锁定住
- left = mid + 1 right = mid
- 最终判断一下nums[left-1]是否等于target,等于说明target在数组中,直接返回left-1,否则返回left
寻找左右边界这两个框架出来的left其实可以看成是一个永远指向target右侧的一个指针(不管这个target是否在数组中),见下面示意:
··· ···, a, a, a, [b, b, b, b,] c, c, c, ··· ···
b是target,[]表示其可能存在在数组中,当找其左边界时,left指针所在位置如下:
··· ···, a, a, a, [b(left), b, b, b,] c, c, c, ··· ···
当b存在在数组中,则直接输出left,当b不在数组中,则a是其左边界,输出left-1
b是target,[]表示其可能存在在数组中,当找其右边界时,left指针所在位置如下:
··· ···, a, a, a, [b, b, b, b,] c(left), c, c, ··· ···
当b存在在数组中,则输出left-1,当b不在数组中,则c是其有边界,输出left
| 总而言之,首先考虑数组只有一个元素或没有元素的情况。之后将target和首位元素做比较,看首位元素是否是其左右边界,或者target可能干脆就不在这个数组的范围内。之后再正式套用上述框架来找左右边界。 |
寻找旋转排序数组中的最小值 II
已知一个长度为 n 的数组,预先按照升序排列,经由 1 到 n 次 旋转 后,得到输入数组。例如,原数组 nums = [0,1,4,4,5,6,7] 在变化后可能得到:
若旋转 4 次,则可以得到 [4,5,6,7,0,1,4]
若旋转 7 次,则可以得到 [0,1,4,4,5,6,7]
注意,数组 [a[0], a[1], a[2], …, a[n-1]] 旋转一次 的结果为数组 [a[n-1], a[0], a[1], a[2], …, a[n-2]] 。
给你一个可能存在 重复 元素值的数组 nums ,它原来是一个升序排列的数组,并按上述情形进行了多次旋转。请你找出并返回数组中的 最小元素 。
示例 1:
1 | 输入:nums = [1,3,5] |
示例 2:
1 | 输入:nums = [2,2,2,0,1] |
提示:
n == nums.length
1 <= n <= 5000
-5000 <= nums[i] <= 5000
nums 原来是一个升序排序的数组,并进行了 1 至 n 次旋转
该题相当于要找到数组中最小值的左边界(最小值可能不止一个)。left指针移动的条件是当mid指针所指的数大于right指针所指数,那么mid所指的数一定不可能是边界区域,left=mid+1。当出现nums[mid]<nums[right]时,说明nums[mid]已经在最小值左边界的右方,此时固定住right指针,继续二分查找。有区别的是当出现nums[mid]=nums[right]的情况时,原先的二分查找是严格的赠序数组,可以直接让right=mid,锁定住右边界。但是如出现下面的情况:nums数组为**[3,3,1,3]**,直接让right=mid会跳过中间的小值,所以只需要让right指针减一,缩小搜索范围即可。
1 | func findMin(nums []int) int { |
搜索旋转排序数组 II
已知存在一个按非降序排列的整数数组 nums ,数组中的值不必互不相同。
在传递给函数之前,nums 在预先未知的某个下标 k(0 <= k < nums.length)上进行了 旋转 ,使数组变为 [nums[k], nums[k+1], ..., nums[n-1], nums[0], nums[1], ..., nums[k-1]](下标 从 0 开始 计数)。例如, [0,1,2,4,4,4,5,6,6,7] 在下标 5 处经旋转后可能变为 [4,5,6,6,7,0,1,2,4,4] 。
给你 旋转后 的数组 nums 和一个整数 target ,请你编写一个函数来判断给定的目标值是否存在于数组中。如果 nums 中存在这个目标值 target ,则返回 true ,否则返回 false 。
示例 1:
1 | 输入:nums = [2,5,6,0,0,1,2], target = 0 |
示例 2:
1 | 输入:nums = [2,5,6,0,0,1,2], target = 3 |
提示:
1 | 1 <= nums.length <= 5000 |
解题思路:
找目标数,首先考虑二分查找。但是本题的数组在[left,mid]和[mid,right]两段区间内只有一段是有序的。要用二分查找找target,就必须在有序的区间查找。所以要理清可能出现的三种情况:
- 第一类
对于数组中有重复元素的情况,二分查找时可能会有 nums[lelf]=nums[mid]=nums[right],此时无法判断区间 [left,mid] 和区间[mid+1,right]哪个是有序的。例如 nums=[3,1,2,3,3,3,3],target=2,首次二分时无法判断区间 [0,3] 和区间 [4,6] 哪个是有序的。对于这种情况,我们只能将当前二分区间的左边界加一,右边界减一,然后在新区间上继续二分查找。
- 第二类
nums=[2,3,4,5,6,7,1] 这种,也就是 nums[left] < nums[mid]。此例子中就是 2 < 5;这种情况下,前半部分有序。因此如果 nums[left]<=target<nums[mid],则在前半部分找,否则去后半部分找。
- 第三类
nums=[6,7,1,2,3,4,5]这种,也就是 nums[left] > nums[mid]。此例子中就是 6 > 2;这种情况下,后半部分有序。因此如果 nums[mid]<target<=nums[right]。则在后半部分找,否则去前半部分找。
1 | func search(nums []int, target int) bool { |
在 D 天内送达包裹的能力
传送带上的包裹必须在 D 天内从一个港口运送到另一个港口。
传送带上的第 i 个包裹的重量为 weights[i]。每一天,我们都会按给出重量的顺序往传送带上装载包裹。我们装载的重量不会超过船的最大运载重量。
返回能在 D 天内将传送带上的所有包裹送达的船的最低运载能力。
示例 1:
1 | 输入:weights = [1,2,3,4,5,6,7,8,9,10], D = 5 |
示例 2:
1 | 输入:weights = [3,2,2,4,1,4], D = 3 |
示例 3:
1 | 输入:weights = [1,2,3,1,1], D = 4 |
提示:
1 | 1 <= D <= weights.length <= 5 * 104 |
算法思路:
假设当船的运载能力为 x 时,我们可以在 days 天内运送完所有包裹,那么只要运载能力大于 x,我们同样可以在 days 天内运送完所有包裹:我们只需要使用运载能力为 x 时的运送方法即可。
这样一来,我们就得到了一个非常重要的结论:
存在一个运载能力的「下限」$$x _\text { ans }$$,使得当 x ≥ $$x _\text { ans }$$时,我们可以在 days 天内运送完所有包裹;当 x<
$$x _\text { ans }$$时,我们无法在 days 天内运送完所有包裹。
同时,$$x _\text { ans }$$即为我们需要求出的答案。因此,我们就可以使用二分查找的方法找出 $$x _\text { ans }$$的值。在二分查找的每一步中,我们实际上需要解决一个判定问题:给定船的运载能力 x,我们是否可以在 days 天内运送完所有包裹呢?这个判定问题可以通过贪心的方法来解决:
由于我们必须按照数组 weights 中包裹的顺序进行运送,因此我们从数组 weights 的首元素开始遍历,将连续的包裹都安排在同一天进行运送。当这批包裹的重量大于运载能力 x 时,我们就需要将最后一个包裹拿出来,安排在新的一天,并继续往下遍历。当我们遍历完整个数组后,就得到了最少需要运送的天数。
我们将「最少需要运送的天数」与 days 进行比较,就可以解决这个判定问题。当其小于等于 days 时,我们就忽略二分的右半部分区间;当其大于 days 时,我们就忽略二分的左半部分区间。
细节
二分查找的初始左右边界应当如何计算呢?
对于左边界而言,由于我们不能「拆分」一个包裹,因此船的运载能力不能小于所有包裹中最重的那个的重量,即左边界为数组 weights 中元素的最大值。
对于右边界而言,船的运载能力也不会大于所有包裹的重量之和,即右边界为数组 weights 中元素的和。
我们从上述左右边界开始进行二分查找,就可以保证找到最终的答案。
1 | func shipWithinDays(weights []int, days int) int { |
搜索二维矩阵
编写一个高效的算法来判断 m x n 矩阵中,是否存在一个目标值。该矩阵具有如下特性:
- 每行中的整数从左到右按升序排列。
- 每行的第一个整数大于前一行的最后一个整数。
示例 1:

1 | 输入:matrix = [[1,3,5,7],[10,11,16,20],[23,30,34,60]], target = 3 |
示例 2:

1 | 输入:matrix = [[1,3,5,7],[10,11,16,20],[23,30,34,60]], target = 13 |
提示:
1 | m == matrix.length |
对于本题,主要的思路就是先通过对每行的首个数字组成的序列进行二分查找,首先要判断target是否在最后一行中,如果是的话,直接在最后一行进行二分查找。这么做的目的是如果直接二分查找target的左边界,如果最后一行的首位数小于target,此时不能将接下来继续二分查找的行数定位left-1,要直接在left行(也就是最后一行)进行查找。简单来说,left的最大值只可能是len(matrix)-1,然而要找的左边界是left-1,这样最后一行永远都无法被选中。读者可以自己找一个实际的例子来看一看。
若不在最后一行,那么就进行二分查找找到target的左边界,这时会出现两种情况:
- 左边界恰好是要找的target,直接返回true
- 左边界位于非最后一行,定位到target可能出现的那一行
row=left-1
最后再在找到的行进行二分查找。
1 | func searchMatrix(matrix [][]int, target int) bool { |
搜索二维矩阵 II
编写一个高效的算法来搜索 *m* x *n* 矩阵 matrix 中的一个目标值 target 。该矩阵具有以下特性:
- 每行的元素从左到右升序排列。
- 每列的元素从上到下升序排列。
示例 1:

1 | 输入:matrix = [[1,4,7,11,15],[2,5,8,12,19],[3,6,9,16,22],[10,13,14,17,24],[18,21,23,26,30]], target = 5 |
示例 2:

1 | 输入:matrix = [[1,4,7,11,15],[2,5,8,12,19],[3,6,9,16,22],[10,13,14,17,24],[18,21,23,26,30]], target = 20 |
提示:
1 | m == matrix.length |
算法思路:
不同于上一题每一行的第一个元素大于前一行的第一个元素,本题要暴力搜索的话需要对每一行进行二分查找。可以考虑先确定目标数可能存在于哪几行内,对这几行进行搜索即可。
- 对每行的最后一个元素进行二分查找,寻找
target的左边界,可以确定起始行号 - 对每一行第一个元素进行二分查找,寻找
target的左边界,可以确定终止行号
1 | func searchMatrix(matrix [][]int, target int) bool { |
在排序数组中查找元素的第一个和最后一个位置
给定一个按照升序排列的整数数组 nums,和一个目标值 target。找出给定目标值在数组中的开始位置和结束位置。如果数组中不存在目标值 target,返回 [-1, -1]。
进阶:
你可以设计并实现时间复杂度为 O(log n) 的算法解决此问题吗?
示例 1:
1 | 输入:nums = [5,7,7,8,8,10], target = 8 |
示例 2:
1 | 输入:nums = [5,7,7,8,8,10], target = 6 |
示例 3:
1 | 输入:nums = [], target = 0 |
解题思路:
本题直接找左右边界即可,首先判断边界情况:
- 数组为空,直接返回
[-1,-1] - 数组只有一个元素,若该元素=target,返回
[0,0];否则,返回[-1,-1]
1 | func searchRange(nums []int, target int) []int { |
两数之和类题目
两数之和
给定一个整数数组 nums 和一个整数目标值 target,请你在该数组中找出和为目标值 target 的那两个整数,并返回它们的数组下标。
你可以假设每种输入只会对应一个答案。但是,数组中同一个元素在答案里不能重复出现。
你可以按任意顺序返回答案。
示例 1:
1 | 输入:nums = [2,7,11,15], target = 9 |
示例 2:
1 | 输入:nums = [3,2,4], target = 6 |
示例 3:
1 | 输入:nums = [3,3], target = 6 |
提示:
1 | 2 <= nums.length <= 104 |
1 | func twoSum(nums []int, target int) []int { |
本题也可使用map来做
1 | func twoSum(nums []int, target int) []int { |
三数之和
给你一个包含 n 个整数的数组 nums,判断 nums 中是否存在三个元素 a,b,c ,使得 a + b + c = 0 ?请你找出所有和为 0 且不重复的三元组。
注意:答案中不可以包含重复的三元组。
示例 1:
1 | 输入:nums = [-1,0,1,2,-1,-4] |
示例 2:
1 | 输入:nums = [] |
示例 3:
1 | 输入:nums = [0] |
提示:
1 | 0 <= nums.length <= 3000 |
算法思路:
整体思路和两数之和非常像,不过是通过遍历数组固定第一个数,后两个数使用双指针的方式进行查找。注意的是不能输出重复的三元组,所以在遍历的要判断一下是否和之前的数相等,相等则跳过该数。
1 | func threeSum(nums []int) [][]int { |
四数之和
给定一个包含 n 个整数的数组 nums 和一个目标值 target,判断 nums 中是否存在四个元素 a,b,c 和 d ,使得 a + b + c + d 的值与 target 相等?找出所有满足条件且不重复的四元组。
注意:答案中不可以包含重复的四元组。
示例 1:
1 | 输入:nums = [1,0,-1,0,-2,2], target = 0 |
示例 2:
1 | 输入:nums = [], target = 0 |
提示:
1 | 0 <= nums.length <= 200 |
类似于三数之和,不过是在三数之和最外层再套一个for循环。
1 | func fourSum(nums []int, target int) [][]int { |
反转数组
反转字符串
编写一个函数,其作用是将输入的字符串反转过来。输入字符串以字符数组 char[] 的形式给出。
不要给另外的数组分配额外的空间,你必须原地修改输入数组、使用 O(1) 的额外空间解决这一问题。
你可以假设数组中的所有字符都是 ASCII 码表中的可打印字符。
示例 1:
1 | 输入:["h","e","l","l","o"] |
示例 2:
1 | 输入:["H","a","n","n","a","h"] |
1 | func reverseString(s []byte) { |
补充:剑指 Offer 24. 反转链表
定义一个函数,输入一个链表的头节点,反转该链表并输出反转后链表的头节点。
示例:
1 | 输入: 1->2->3->4->5->NULL |
解题思路:
假设链表为 1→2→3→∅,我们想要把它改成 ∅←1←2←3。
在遍历链表时,将当前节点的 next 指针改为指向前一个节点。由于节点没有引用其前一个节点,因此必须事先存储其前一个节点。在更改引用之前,还需要存储后一个节点。最后返回新的头引用。
1 | /** |
滑动窗口算法
这个类型的题目是很有难度的,有专门的文章进行介绍。滑动窗口(Sliding Window)算法框架
参考资料
- Post title:双指针算法总结
- Post author:洪笳淏
- Create time:2021-05-08 13:58:20
- Post link:https://jiahaohong1997.github.io/2021/05/08/双指针算法总结/
- Copyright Notice:All articles in this blog are licensed under BY-NC-SA unless stating additionally.